研究进展

    研究进展

    当前您的位置: 首页 > 研究进展 > 正文

    2025年学术进展系列之40:我院天体物理光学AGN团组在《MNRAS》期刊上发表研究性文章

    日期: 2025-07-22 浏览次数:

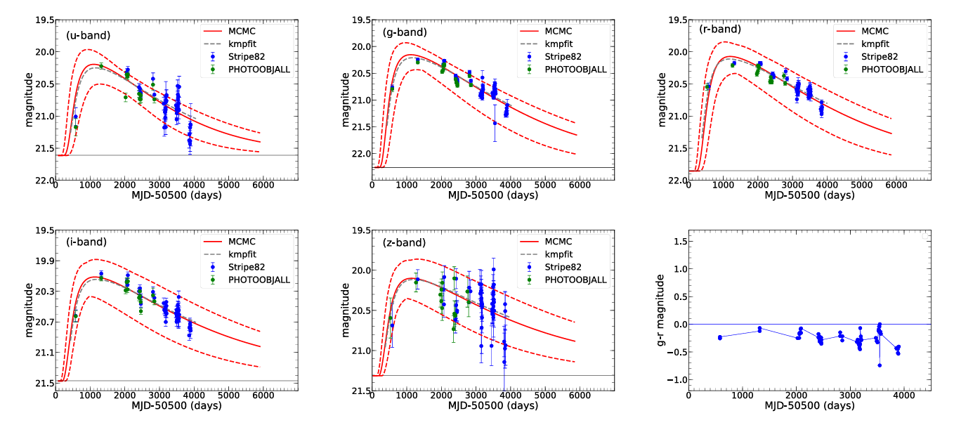
    院天体物理光学AGN团组在天文学期刊MNRAS上发表了题为A candidate of high-z central tidal disruption event in quasar SDSS J000118.70+003314.0SCI文章。  

    在该项工作中,基于光变特征,我们报道了稀缺的高红移的TDE事件,为后续对TDE事件对红移的演化依赖的研究打下了基础,基于该项工作,后续对高红移TDE的证认、样本的高红移TDE事件的创建,都在有序进行中。 

    Fig.1: Long-term light curves in SDSS ugriz-bands and the TDE model determined best descriptions and the corresponding confidence bands.

    中文题目:对高红移类星体SDSS J0001TDE事件的证认

    论文作者:顾莹(博士研究生)、张雪光(通信作者)、陈兴黔(硕士研究生)、杨星(博士研究生)、梁恩维(通信作者)

    发表期刊:Monthly Notices of the Royal Astronomical Society

    文章链接:https://arxiv.org/abs/2412.17046

     

    联系地址:广西区南宁市大学东路100号

    联系电话:0771-3237386

    邮 编 :530004

    关注我们

    版权所有:365英国上市公司(认证集团)官方网站-Global Platform

    Baidu
    sogou