研究进展

    研究进展

    当前您的位置: 首页 > 研究进展 > 正文

    2025年学术进展系列之31:我院天体物理光学AGN团组在《A&A Letters》期刊上发表研究性文章

    日期: 2025-06-18 浏览次数:

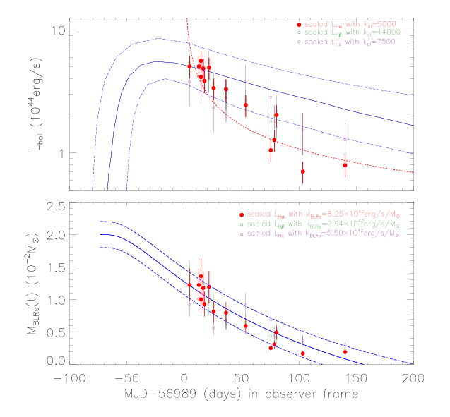
    院天体物理光学AGN团组在天文学期刊A&A Letters上发表了题为Mass evolution of broad line regions to explain the luminosity variability of broad Hα in the TDE ASASSN-14liSCI文章。

    在该项工作中,考虑到TDE事件ASASSN-14li中的连续谱光度和宽光度的演化的差异,我们首次提出了一种简单的模型用来预估TDE事件中BLRs中的质量演化。为后续在AGN中进行BLRs质量的估算提供了一种全新的想法。 

     Fig. 1: Top panel shows the evolution of continuum luminosity (bolometric luminosity). Bottom panel shows evolution of broad Hα and the best descriptions related to our proposed mass evolution model.

    中文题目:基于宽光度的演化确认ASASSN-14liBLRs的质量演化

    论文作者:张雪光(通信作者)

    发表期刊:Astronomy & Astrophysics Letters

    文章链接:https://arxiv.org/abs/2411.12247

     

    联系地址:广西区南宁市大学东路100号

    联系电话:0771-3237386

    邮 编 :530004

    关注我们

    版权所有:365英国上市公司(认证集团)官方网站-Global Platform

    Baidu
    sogou