研究进展

    研究进展

    当前您的位置: 首页 > 研究进展 > 正文

    2023年学术进展系列之15:张雪光团组在《Astrophysical Journal》期刊上发表研究性文章

    日期: 2023-03-07 浏览次数:

    近日,院天体物理张雪光团组在天文学著名期刊《ApJ》上发表了题为"Central BH mass of tidal disruption event candidate SDSS J0159 through long-term optical variabilities"的研究性文章。

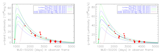
    在该项工作中,基于TDE模型对SDSS多波段光变特性的描述,使用独立的方法测量了SDSS J0159中心黑洞的质量,与维理化方法得到的黑洞质量产生了较大的差异。这种黑洞质量的差异在一定程度上支持了SDSS J0159的中心存在TDE事件。而且进一步验证了我们前期的结论:TDE的贡献会导致BLAGN中心黑洞的维里质量与基于恒星速度弥散得到的黑洞质量有较大的差异。从而为后续的BLAGN中的TDEs的探测提供了一种较为独立的方法。

     

    Fig. 1: long-term variabilities in SDSS J0159 well described by theoretical TDE model.

     

    Fig. 2: properties of SDSS J0159 in the space of BH mass versus stellar velocity dispersion. Solid five-point-star in red and in purple show the virial BH mass and the TDE model determined BH mass.

    中文题目:基于长时标光学光变特性对TDE候选体SDSS J0159中心黑洞质量的探讨

    论文作者:张雪光(通信作者)

    文章链接:https://arxiv.org/abs/2303.02289

     

     

    联系地址:广西区南宁市大学东路100号

    联系电话:0771-3237386

    邮 编 :530004

    关注我们

    版权所有:365英国上市公司(认证集团)官方网站-Global Platform

    Baidu
    sogou