研究进展

    研究进展

    当前您的位置: 首页 > 研究进展 > 正文

    2021年研究进展系列之04:我院天体物理团队同步辐射框架下伽玛暴瞬时辐射的电子能谱

    日期: 2021-02-22 浏览次数:

        我院天体物理团队刘宽(硕士研究生)、林达斌等成员的研究成果论文以“Electron Spectrum for the Prompt Emission of Gamma-ray Bursts in the Synchrotron Radiation Scenario”为题被《The Astrophysical Journal接收,这是该生在伽玛暴瞬时辐射能谱研究中的第二个工作。

        高能电子的同步辐射是最有希望解释伽玛暴瞬时辐射阶段辐射能谱非热特性的物理模型之一。在同步辐射框架下,辐射能谱的形态主要由电子能谱决定,而后者与相对论喷流中的能量耗散与粒子加速过程息息相关。因此,研究伽玛暴瞬时辐射阶段的电子能谱对研究相对论喷流物理有着重要意义。

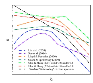
        理论研究发现,伽玛暴瞬时辐射阶段形成的电子能谱的形态可能是多样的。但是在能谱拟合过程中,大多数研究都采用一个具有固定形态的函数来描述电子能谱,这难免会在一定程度上误导人们对辐射谱背后的电子能谱的理解。在这篇文章中,作者提出一个新的经验函数来描述电子能谱的形态。其低能段用对数空间下的贝塞尔曲线(window系统上的画图函数)描述,高能段用幂率进行描述,这样子的经验函数可以很好地描述大部分理论计算得到的电子能谱。因此,我们可以通过这个函数来更好地揭示伽玛暴瞬时辐射阶段的电子能谱形态。

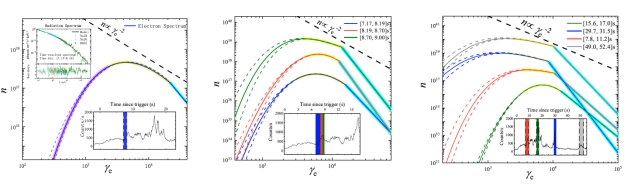
    GRB 180720BGRB 160509A为例,我们估算出来的电子能谱与传统的快冷却同步辐射模型预言的电子能谱不同,其低能段呈现出明显的弯曲的特征,并且,电子能谱的形态在暴中会随时间表现有明显的演化。我们提出的方法可以作为一种更广泛的方式去检验同步辐射模型是否可以解释伽玛暴瞬时辐射阶段的辐射能谱,亦或,研究伽玛暴瞬时辐射背后的电子加速机制。

       该工作得到了国家自然科学基金(基金1177300711533003U193810611851304U1731239)广西自然科学基金(基金号2018GXNSFFA2810102017AD220062018GXNSFGA2810072018GXNSFDA281033)的支持。 

    所得到的主要结果:

    图一:用经验函数拟合理论电子能谱

     

    图二:拟合GRB 180720B(左和中)、GRB 160509A(右)得到的电子能谱。



           论文作者:Kuan Liu, Da-Bin Lin, Jing Li, Yu-Fei Li, Rui-Jing Lu, En-Wei Liang

           论文 arXiv链接:https://arxiv.org/abs/2102.09257


     

    联系地址:广西区南宁市大学东路100号

    联系电话:0771-3237386

    邮 编 :530004

    关注我们

    版权所有:365英国上市公司(认证集团)官方网站-Global Platform

    Baidu
    sogou