研究进展

    研究进展

    当前您的位置: 首页 > 研究进展 > 正文

    2022年学术进展系列之05:我院教师孙晓娜等在银河系内年轻巨星团的伽马射线与宇宙线起源研究取得进展

    日期: 2022-02-14 浏览次数:

    近日,我院教师孙晓娜等在银河系内年轻巨星团的伽马射线与宇宙线起源研究取得进展,研究以“Diffuse GeV emission in the field of HESSJ1912+101 revisited”为题,被欧洲天文与天体物理杂志《Astronomy & Astrophysics》接受发表。

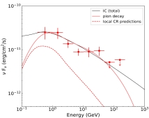
    伽马射线为研究宇宙线起源这一“世纪之谜”提供了一个重要探针。有观测表明巨星团可能是银河系内一类重要的宇宙线源助理教授孙晓娜与中国科技大学学者合作,基于最新的GeV伽马射线观测研究银河系内巨星团Mc20附近HESS J1912+101的高能宇宙线辐射。之前相关研究表明HESS J1912+101周围扩散的GeV辐射起源于由PSR J1913+1011驱动的脉冲星风云,10 GeV以上的GeV辐射与TeV辐射相关联,起源于壳层型的超新星遗迹。不同于前面的结论,我们发现扩散的GeV伽马射线辐射与分子气体具有空间分布一致性,从而支持GeV伽马射线强子起源。我们认为产生这些伽马射线的宇宙线质子可能来自超新星遗迹候选源HESS J1912+101或者巨星团Mc20。


     

      论文作者:孙晓娜(第一和唯一通讯),杨睿智(中国科技大学),梁恩维。

    联系地址:广西区南宁市大学东路100号

    联系电话:0771-3237386

    邮 编 :530004

    关注我们

    版权所有:365英国上市公司(认证集团)官方网站-Global Platform

    Baidu
    sogou